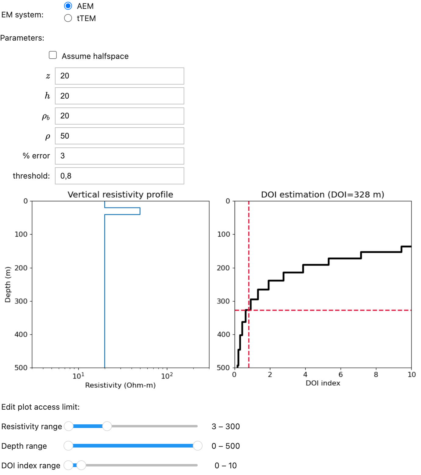
Depth of investigation (DOI) indicates a depth where changes in resistivity values does not make noticeable changes in the observed EM data. This app provides a way to estimate DOI. Generally, DOI is dependent upon EM system, level of data errors/noise, and subsurface resistivity. This tool provides a capability to explore how DOI changes with above three factors.
Interactive App¶

Usage¶
App parameters¶
EM system:AEMortTEMhalfspace: if checked, then assumes the homogenous background.z: depth to the layerh: thickness of the layerrho_b: background resistivityrho: layer resistivityrho_0: initial resistivity profile% error: percentage errorthreshold: a threshold value to determine DOI.
Plotting parameters¶
Resistivity range: range of resistivity shown in the left panelDepth range: range of depth shown in the left panelDOI index: range of DOI index shown in the right panel